2019-11-151238次浏览
Alevel课程是英国高中课程,也被称为英国全民课程,在这个课程中其中重点之一就是Alevel数学考试,对于有基础的国内学生来说,我们要更多的了解其中的内容,从而做到有效备考,今天小编就为大家带来关于Alevel数学中链式法则的常见考点介绍,希望能够帮助大家。
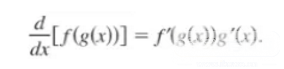
1.The China rule (链式法则)
If y=f(u) is a differentiable function of u and u=g(x) is a differentiable function of x, then y=f(g(x)) is a differentiable function of x and

or, equivalently,

如果复合函数处处可导,可使用链式法则来进行求导,外部函数的导数乘以内部函数的导数。
常考题型解析:
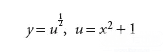
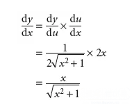
Example 1
SOLUTION
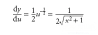
As you saw earlier, you can break down this expression as follows.

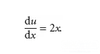
Differentiation these gives

and

By the chain rule

2. Related-Rate Problems
相关变化率问题
Differentiation with respect to different variables
对于不同变量的微分
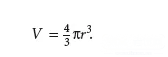
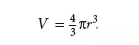
The chain rule makes it possible to differentiate with respect to a variable which does not feature in the original expression. For example, the volume V of a sphere of radius r is given by

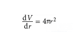
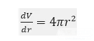
Differentiating this with respect to r gives the rate of change of volume with radius,

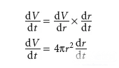
However you might be more interested in finding dv/dt, the rate of change of change of volume with time, t. To find this, you would use the chain rule:

相关变化率问题是复合函数求导的应用,例,半径为r的球体积为

体积对半径进行微分,可得到体积对于半径的变化率,

要求出体积对于时间的变化率dV/dt,可以使用链式法则,通过半径r对时间t进行微分。
以上就是小编为大家带来的关于Alevel课程相关内容介绍,希望同学们能够合理的掌握,做更有效的备考。想要获取更多Alevel历史答题技巧等更多信息,大家可以线上咨询客服哦!最后小编预祝大家能考取心中满意成绩。

1506次浏览
1106次浏览
868次浏览
5119次浏览
997次浏览